Об изъятии объектов недвижимого имущества и земельных участков в интересах строительства ВСЖМ-1
Информируем жителей Конаковского района об изъятии земельных участков и объектов недвижимого имущества для нужд Российской Федерации для объекта: «Создание высокоскоростной железнодорожной магистрали Санкт-Петербург — Москва (участок Крюково (Алабушево) - Обухово)». 6 этап - Строительство участка Новая Тверь (вкл.) - Высоково (искл.)».
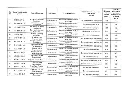
В соответствии со статьями 49, 56.3, 56.6 Земельного кодекса Российской Федерации, пунктом 5.3.19 Положения о Федеральном агентстве железнодорожного транспорта, утвержденного постановлением Правительства Российской Федерации от 30.07.2004 № 397, на основании документации по планировке территории, утвержденной распоряжением Федерального агентства железнодорожного транспорта от 08.12.2022 № ВЛ-432-р «Об утверждении документации по планировке территории (проект планировки территории и проект межевания территории) для объекта: «Создание высокоскоростной железнодорожной магистрали Санкт-Петербург - Москва (участок Крюково (Алабушево) - Обухово)». 6 этап - Строительство участка Новая Тверь (вкл.) - Высоково (искл.)»,




